Introdução
O desenvolvimento das turbinas a gás começou paralelamente ao desenvolvimento do motor a vapor.
A primeira patente relativa ao antecessor da moderna turbina a gás foi concedida em 1791.
No entanto, a turbina a vapor difundiu-se no mercado enquanto a turbina a gás enfrentou problemas tecnológicos decorrentes da falta conhecimentos sobre aerodinâmica, necessários para o projeto de compressores eficientes, e decorrentes da inexistências de materiais adequados para resistir às altas temperaturas.
Somente a partir da década de 30, a turbina a gás tornou-se um produto comercial devido à necessidade da indústria aeronáutica de desenvolver propulsão com menor relação peso/potência.
Atualmente, as turbinas a gás são classificadas, de acordo com a aplicação, em:
- Industriais;
- Aeroderivativas.
e, em relação aos aspectos construtivos, elas podem ser classificadas em:
- Eixo Simples;
- Eixo Duplo;
- Compressor Dual;
- Regenerador;
- Resfriador Intermediário;
Toda turbina a gás consiste basicamente em um compressor, uma câmara de combustão e a turbina, conforme mostra a figura abaixo.

O compressor comprime o ar atmosférico até à câmara de combustão utilizando parte do trabalho mecânico da turbina.
Por sua vez, o combustível queimado na câmara de combustão aumenta a temperatura dos gases.
Estes gases aquecidos entram na turbina e se expandem realizando trabalho mecânico, que aciona o compressor e a carga.
Finalmente, os gases da saída da turbina são jogados de volta para a atmosfera que os esfria.
Considerando a turbina a gás como sendo uma máquina térmica ideal, a Figura abaixo mostra os quatro processos envolvidos no seu funcionamento:
- Compressão Isotrópica, 1-2;
- Adição de calor, 2-3;
- Expansão, 3-4;
- Retirada de calor, 4-1.

Este ciclo termodinâmico é chamado de ciclo Brayton e considera os seguintes hipóteses:
- O fluído de trabalho é um gás perfeito com calor específico e composição constantes;
- Os processos de compressão e expansão são reversíveis, isótrópicos e adiab�ticos;
- As parcelas de energia cinética são desprezíveis;
- Não existem perdas de pressão;
- O fluxo de massa é constante em todo o ciclo;
- O processo de combustão é representado por um processo de transferência de calor a partir de uma fonte quente;
- O ciclo é completado pela transferência de calor para o meio ambiente;
- Todos os processos são reversíveis;
O projeto das turbinas a gás apresenta dois parâmetros básicos:
- a taxa de compressão - rc;
- e coeficiente de temperatura - t.
Estes parâmetros são dados por:

Onde a taxa de compressão é a relação entre a pressão na saída e na entrada do compressor e o coeficiente de temperatura é a relação entre a temperatura na saída da câmara de combustão e a temperatura do ar na entrada do compressor, em graus Kelvin.
As turbinas aeroderivativas apresentam taxa de compressão entre 20 e 30 e o coeficiente de temperatura entre 5 e 5,5.
Em todos os casos, a temperatura máxima é limitada pela tecnologia de materiais, que hoje é da ordem de 1500 °C.
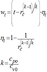
A eficiência e o trabalho do ciclo Brayton são dados pelas expressões abaixo:

Onde:
- Cp0 é o calor espec�fico a pressão constante;
- Cv0 é o calor específico a volume constante;
- ηt é o rendimento térmico;
- wt é o trabalho específico;
É importante observar que o rendimento depende apenas da relação de pressão e do calor específico e o trabalho depende também da relação de temperatura.
Estas expressões foram deduzidas considerando calor específico constante e gás ideal.
Conforme pode ser visto na figura abaixo, o calor específico do ar não pode ser considerado constante entre a temperatura ambiente e a temperatura máxima da turbina. Esta variação, de aproximadamente 16%, tem algum impacto nas analises anteriores.

